如何规划网站的链接结构?
如何规划好网站的链接结构?
如何规划网站的链接结构?这是很多站长朋友都会遇到的问题,也是刚开始建网站的站长需要做好的事情!做好这一点可以让你以后事半功倍,否则在后期的修改中会遇到很多问题!
如何规划网站的链接结构是最好的?
可能每个人都有自己的看法。目前大家公认的流行链接结构就是树形结构!
网站的链接结构可以分为两种类型:
1.物理树形结构(容易理解就是你的网站目录的确切路径)
2.链接树形结构或逻辑结构(链接的树形结构是利用网站页面之间的互联来实现的)。
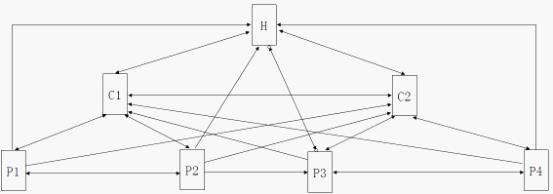
下面我们直接用一个图来说明这个链接结构,可能更直观!请看下图:
h为网站主页,C1和C2为分类主页,p1和p2为C1类别下的产品页面,P3、P4和C2为C2类别下的产品页面,链接如下:
(1)所有分类主页的主页链接。
(2)主页一般不直接链接到产品页面,除了少数需要特别推广的产品,如P3。
(3)所有分类主页都链接到其他分类主页,一般是网址导航的形式。
(4)分类的首页要和首页连接。
(5)分类主页链接到该分类下的产品页面。
(6)分类的首页一般不连接其他分类产品的首页和子页面。
(7)产品页面链接到所有品类的首页,一般是网址导航的形式。
(8)产品页面链接到网站首页,一般以网址导航的形式出现。
(9)产品页面可以链接到同一类别的其他产品页面。
(10)产品页面通常不链接到其他分类产品页面。
(11)在某些情况下,产品页面可以通过适当的关键字链接到其他分类产品页面,例如P2链接到P3。
以上是站长们推崇的链接树结构!在此总结下,希望能对大家有所帮助。
相关文章
-
你认为按职称加工资好还是按工龄加工资好?
文章来源:老铁商城2020-01-06 -
月薪5万,要求你出国务工2年,中途不得回家,你愿意吗?
文章来源:老铁商城2020-01-06 -
公司派我去非洲工作,每天1000元补助,要不要去?
文章来源:老铁商城2020-01-06 -
是什么让你坚持上班没有离职呢?
文章来源:老铁商城2020-01-06 -
我已60岁,企业破产了,负债一千多万,怎样东山再起?
文章来源:老铁商城2020-01-06 -
如果腾讯、阿里、百度同时聘用你,你会选择哪一个公司?为什么?
文章来源:老铁商城2020-01-06 -
如果你痴迷钓鱼,每月给你10000块,钓遍全国的工作你愿意干吗?
文章来源:老铁商城2020-01-06

2022-06-15 11:04:48