向心力的计算公式
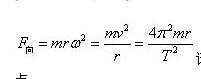
向心力公式:
在圆周运动中,将物体所受各力正交分解在切向和法向上,法向的合力等于向心力。
v为线速度 单位m/s,ω为角速度 单位rad/s,m为物体质量 单位kg,r为物体的运动半径 单位m,T为圆周运动周期 单位s,f为圆周运动频率 单位Hz,n为圆周运动转速(即频率)单位r/s。
扩展资料
向心力的产生:
因为圆周运动属于曲线运动,在做圆周运动中的物体也同时会受到与其速度方向不同的合外力作用。对于在做圆周运动的物体,向心力是一种拉力,其方向随着物体在圆周轨道上的运动而不停改变。此拉力沿着圆周半径指向圆周的中心,所以得名“向心力”。
向心力指向圆周中心,且被向心力所控制的物体是沿着切线的方向运动,所以向心力必与受控物体的运动方向垂直,仅产生速度法线方向上的加速度。
因此向心力只改变所控物体的运动方向,而不改变运动的速率,即使在非匀速圆周运动中也是如此。非匀速圆周运动中,改变运动速率的切向加速度并非由向心力产生。
上一篇:制表中YTD和MTD分别代表什么意思?
下一篇:抖音的音浪是什么?一块钱是多少
相关文章
-
你认为按职称加工资好还是按工龄加工资好?
文章来源:老铁商城2020-01-06 -
月薪5万,要求你出国务工2年,中途不得回家,你愿意吗?
文章来源:老铁商城2020-01-06 -
公司派我去非洲工作,每天1000元补助,要不要去?
文章来源:老铁商城2020-01-06 -
是什么让你坚持上班没有离职呢?
文章来源:老铁商城2020-01-06 -
我已60岁,企业破产了,负债一千多万,怎样东山再起?
文章来源:老铁商城2020-01-06 -
如果腾讯、阿里、百度同时聘用你,你会选择哪一个公司?为什么?
文章来源:老铁商城2020-01-06 -
如果你痴迷钓鱼,每月给你10000块,钓遍全国的工作你愿意干吗?
文章来源:老铁商城2020-01-06

2020-03-05 09:30:17
