扫码添加微信:juxia_com
经常有非业内人士总习惯用美工称呼UI设计师,而设计师通常会为此感到生气。 毕竟,在国内大部分人对UI的理解还停留在美术设计方面,认为UI的工作只是描边画线,缺乏对用户交互重要性的…
本文并没有说Haskell比C好,也不会讨论任何一种语言的相对价值,更不会讨论它们的实现本文只是简单地探索了高性能Haskell,同时尝试了一些有趣的技巧而已。 作者 |Chris Penner 译者 | 弯月,责…
2019年9月13日是什么节日? 答: 中国中秋节 , 俄罗斯程序员节 那么当程序员遇到中秋节会碰出怎样的火花呢? 大家是否还记得: 16年阿里巴巴开放员工抢购月饼,根据内部员工爆料, 有四名…
人的思考有两个方面:一个是正面的思考,一个是负面的思考。我举一个简单的例子,在高中的时候我可能也有这种感受。就是晚上躺在床上思考总逃不过死亡这一个词,若干年以后谁都逃不...
类似穿越的时间,不论是古代还是近现代,都有发生过;但是这些事件都是出现得非常神秘,常常在个体的身上发生,从来没有出现在大众的视野中;于是在这层神秘的面纱下,人们就不得不...
首先科普一下万能钥匙 万能钥匙这个名字很唬人,其实它不是真正意义的破解,只是记录下不同位置的路由名称ssid和路由mac以及密码,当你在本地用软件自动扫描时,服务器自动比对周围的...
这个问题让我想起了一个朋友,他和他的女朋友还有他女朋友的男性朋友的一段往事。 那个时候我们刚毕业,由于生活拮据我和他们小两口一起在北京租房了一套小两居,故事就这样开始了。...
回答之前还是提下个人观点,手机在导航过程中,无论用的哪个卫星定位系统,最终看重的应该是位置信息是否准确。 如果要知道自己手机借助卫星导航时到底用的是GPS还是北斗,首先应该明...
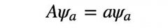
根据量子力学,一个物理系统所处状态用波函数描述。 波函数并不直接对应物理量的取值,我们需要使用算符才能从波函数中把我们关心的物理量的取值提取出来。 算符能够把一个函数映射为...
成都铁路局配属的CRH380D,确实 主要跑管内线路,尤其是在成渝高铁上,跑成都东到重庆北的动车组比较多。 但是并不是不跑跨局线路、只跑管内线路, 在沪昆线上,也有成局配属的CRH380D,跑...
明确的告诉你,会影响音质。我自己就是做音频开发的,我来说下这个问题,随便科普一下音频相关的知识。 iPhone手机为什么要取消耳机接口 随着iPhoneX手机取消了3.5mm接口,国内其他厂商陆续...
一动不动,万紫千红一片绿 一动是车,不动是房。彩礼钱是一万张5元的,一千张100元的和一大片50元的。 万紫千红一片绿是对彩礼数额的一句概括,其意思是紫色5元人民币一万张;红色100元...
战痘狂魔,这道题我来答!!新关注我的粉丝,我不是白皮。 长痘,被我治好了;肥胖,强行减肥瘦下来了。要论我生命中最大的两个痛处是什么? 第一,个字不足160,为什么老天爷2厘米都不...